"분모와 분자가 모두 0이 되는 극한? 그냥 로피탈 쓰면 되지!"
대학생이라면 익숙할 이 말, 하지만 고등학생에게는 생소한 개념이다.
로피탈(L'Hôpital)의 정리는 미분 가능한 함수의 극한 계산을 단순하게 만들어주는 도구이지만,
우리나라 고등학교 교육과정에는 포함되어 있지 않다.
왜 이렇게 유용한 수학 도구가 고등학교에서는 빠져 있는 걸까?
이번 글에서는 그 이유를 수학적, 교육적, 현실적 측면에서자세히 풀어본다.
로피탈 정리란 무엇인가?
로피탈 정리는 다음과 같은 형태의 극한을 다룰 때 사용된다.

즉, 단순히 미분해서 대입하는 공식이 아니라
'정리’로서의 수학적 조건이 전제된 계산 방식이다.
고등학교 교육과정에는 왜 빠져 있을까?
이유 1: 수학적 엄밀성과 전제 조건의 복잡함
로피탈 정리는 단순한 계산 요령이 아니다.
엄밀한 수학적 정당화가 필요한 정리이며,
그 속에는 다음과 같은 고등학교 밖 개념들이 숨어 있다:
- 함수의 미분 가능성과 연속성 관계
- 극한값이 존재해야만 교환 가능한 극한 연산
- 미정형(indeterminate form) 처리 원리
이런 전제는 고등학교 과정에서 배우지 않는
‘해석학’ 또는 ‘고등 미적분’ 수준의 내용이다.
즉, 도구는 간단하지만, 그 근거는 대학 수학에 가야 본격적으로 이해된다.
이유 2: ‘공식 남용’을 막기 위한 교육적 선택
고등학교 수학의 핵심은
> “수학적으로 왜 그렇게 되는지를 이해하는 것”
하지만 로피탈 정리는
조건만 맞으면 ‘미분해서 다시 대입’하면 되는 도구처럼 보인다.
이것은 자칫 기계적 계산 훈련으로 전락할 수 있다.
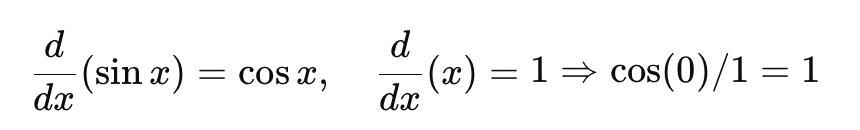
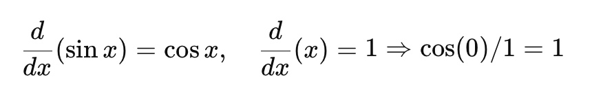
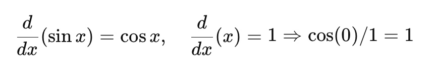
예를 들어,

이 극한은 단위 원이나 그래프를 통해 직관적으로 설명할 수 있다.
그런데 로피탈을 사용하면:

이렇게 '왜'가 사라지고, '계산기처럼 외우는 수학'이 될 위험이 있다.
교육과정은 이런 계산 중심 접근을 의도적으로 피하고 있다.
이유 3: 미분, 극한, 함수 이해를 방해할 수 있음
고등학교에서 배우는 미적분은
함수의 개형, 변화율, 도형적 의미 등에 초점을 맞춘다.
즉, 수식을 넘어서 수학의 본질적 개념을 이해하는 것이 중요하다.
로피탈 정리는 이런 흐름과 어긋난다.
‘미정형이면 미분해서 계산하라’는 식의 접근은
학생들이 극한의 성질, 연속성과 미분의 관계, 함수 해석력을 기르는데 방해가 될 수 있다.
이유 4: 배우기엔 너무 많은 배경지식이 필요함
로피탈 정리를 온전히 이해하려면
다음 개념들이 필요하다:
- 함수의 극한이 존재한다는 조건의 의미
- 미분 가능성과 연속성의 차이
- 극한과 미분 연산의 순서 교환 가능성
- 분모가 0이 되지 않아야 하는 이유
이건 고등학교 미적분의 수준을 넘는 이야기다.
결국, 도입 효과에 비해 학습 부담이 너무 크다.
로피탈 정리는 대학 수학에서 어떤 역할을 할까?
대학에서는 수학을 단순한 문제풀이가 아닌
논리적 체계로 접근한다.
로피탈 정리는 이 흐름에서 정리(theorem)로서 등장하고,
그 정당성을 직접 증명한다.
예를 들어 해석학에서는
‘로피탈 정리는 코시의 평균값 정리에서 유도된다’는 식으로
하나의 정리가 또 다른 정리에서 파생된다는 사실을 배운다.
이런 구조를 통해 학생들은
단순한 계산이 아닌 수학적 논리의 흐름 을 훈련하게 된다.
그렇다면 고등학생은 아예 몰라도 될까?
꼭 그렇지는 않다.
호기심 많은 학생이라면 미리 접해보는 것도 아주 좋다.
다만, 아래와 같은 점을 분명히 인식해야 한다
- 로피탈 정리는 ‘무조건 미분해서 푼다’는 공략법이 아니다
- 조건을 잘 확인해야 쓸 수 있고, 언제 써야 효과적인지도 판단해야 한다
- 공식이 아니라 정리라는 점을 기억하자
만약 고등학생이 이를 독학하거나 탐구활동으로 접한다면,
단순히 적용하는 게 아니라
‘왜 이렇게 되는 걸까?’, ‘언제 쓰는 게 좋을까?’ 같은 질문을 해보면 좋다.
로피탈 정리는 정말 유용한 수학 도구야.
하지만 그건 마치 ‘칼’과 같은 것.
기본기 없이 칼만 먼저 쥐어주면 오히려 다칠 수 있어.
그래서 고등학교에서는
학생들에게 생각하고 느끼는 수학
그래프와 개념을 통해 직관적으로 이해하는 수학을 먼저 가르치는 거야.
수학은 ‘공식’이 아니라, ‘이해’야.
로피탈 정리도, 이해하고 쓰면 날개가 되지만
기계적으로 쓰면 오히려 발목을 잡을 수도 있다는 걸
우리는 알아야 해.
'수학이 좋아지는 글들' 카테고리의 다른 글
| 수학, 정말 우리 인생에 필요할까? (0) | 2025.06.22 |
|---|---|
| 논증적 기하학과 해석학적 기하학 – 수학이 바라보는 두 개의 시선 (0) | 2025.05.09 |
| 계산기 없이 할인율 빨리 계산하는 법 – 10%, 20%, 30% 체감하는 법 + 수학 팁_ (0) | 2025.05.07 |
| “무한, 그 끝없는 개념” (0) | 2025.04.22 |
| 수학자가 세상을 이해하는 방식 – 철학과 감성의 교차점에서 (0) | 2025.04.11 |