수학이 예술처럼 보일 수 있을까?
한 번쯤 ‘수학은 재미없어’라고 생각해 본 적이 있다면,
이 그림을 한번 봐 줬으면 한다.

이건[ 망델브로 집합]이라는 그림이다.
이 멋진 그림은 어떤 화가가 그린 것이 아니라
단 하나의 간단한 수학 공식으로 만들어졌다.
망델브로 집합은 프랙탈 중에서도 특히 유명하한데,
그 이유는 아주 단순한 수식에서 이런 복잡한 형태가 나왔기 때문이다.
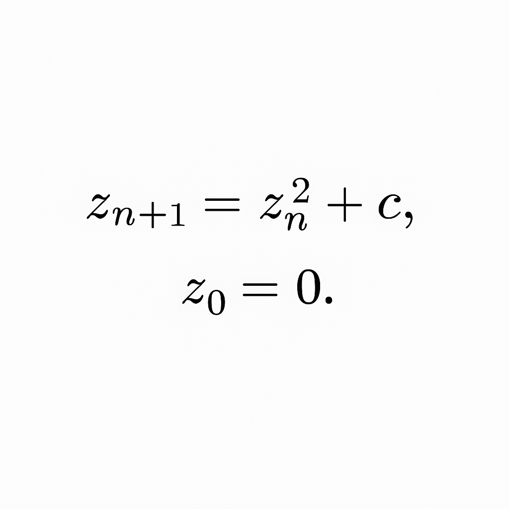
그 공식은 이렇다.

쬐금 어려워 보일 수도 있지만, 간단히 말해서 이 수식은
어떤 숫자를 c에 넣었을 때, 그 숫자가 계속 안정적으로 머무는지,
아니면 점점 커져서 튀어나가는지를 알아보는 계산이다.
이런 계산을 수많은 복소수 c에 대해 반복해서 해보고,
튕겨 나가지 않는 숫자들만 모은 것이 바로 망델브로 집합이다.
검은색으로 보이는 부분이 그런 숫자들이고,
주변에 번져 나가는 색상들은 얼마나 빨리 튕겨나가는지를 설명해준다.
그림을 확대해 보면 구 그 결과가 더 놀라운데,
계속 확대해도 또 다른 무늬가 나오고,
그 안에서 또 다른 ‘하트’ 모양이나 나뭇가지 같은 모습들이 끝임없이 계속해서 나타나게 된다.
이런 구조를 프랙탈(fractal)이라고 부른다.
프랙탈의 특징은 부분을 잘라서 보아도 전체와 닮아 있다는 거야
마치 나뭇가지를 자르면 또 다른 작은 나뭇가지가 나오고,
그걸 또 자르면 더 작은 나뭇가지가 나오는 것처럼 말이다.
우리가 사는 자연속에서도 이 패턴을 자주 볼수가 있다. 예를 들어 구름, 번개, 나뭇잎, 강줄기 등에서 그 모습을 볼수 있다.
이 집합은 프랑스 수학자 브누아 망델브로(Benoît Mandelbrot)의 이름을 따서 만들어졌다
그는 수학으로 자연의 복잡한 모습을 수학적으로 표현하고 싶어했다.
이 집합을 통해 수학이 자연과 얼마나 닮았는지를 보여주었다.
우리는 평소에 수학을 시험 점수나 계산 문제로만 생각하지만,
사실은 그 안에 이렇게 끝없는 아름다움이 숨어 있다.
보기에는 복잡한 모습을 가지고 있지만 하나의 간단한 규칙에서 시작된다는 것을 .
망델브로 집합이 우리에게 보여주고있다.
어쩌면 우리가 살고 있는 이 세상도
간단한 규칙들이 모여 만들어 낸
아주 크고 복잡한 프랙탈 우주일지도 모르는 일이다.
'수학이 좋아지는 글들' 카테고리의 다른 글
| 자연이 그리는 수학, 프랙탈의 흔적들 (0) | 2025.04.03 |
|---|---|
| 프랙탈의 또 다른 얼굴, 쥘리아 집합 (0) | 2025.04.02 |
| 간절함과 욕심, 공부를 대하는 우리의 마음 (0) | 2025.03.25 |
| 수학이 어려운 아이들을 위한 과외를 합니다 (0) | 2025.03.25 |
| 아버지의 죽음, 그리고 멀리 떠난 여행자 (0) | 2025.03.24 |