직관은 언제 논리를 이길까?
수학이 ‘느낌’에서 시작된다.
알베르트 아인슈타인(Albert Einstein)는 "순수 수학은 그 자체로 논리적 아이디어의 시(詩)이다." 라고 말했다.
공리에서 출발하여 정의를 만들고, 그 정의로부터 정리를 이끌어내고, 다시 그 정리를 엄밀하게 증명하는 과정. 이 모든 것이 수학의 '논리'에 해당한다.하지만 놀랍게도, 수많은 수학의 위대한 발견들은 논리가 아니라 ‘직관’에서 시작되었다.
직관이 먼저다!! 논리는 나중.

수학자들은 문제를 풀기 전에 우선 어떤한 ‘느낌’을 갖는다. 그 느낌은 정형화되지 않은 생각으로, 때로는 그림, 패턴, 감각적 확신 같은 형태로 나타나기도 한다.
프랑스의 수학자 앙리 푸앵카레(Henri Poincaré)는 이런 말을 남겼다.
“논리는 검증의 도구일 뿐, 발견은 오직 직관에서 나온다.”
즉, 논리는 '답이 맞는지 확인하는 도구'고, 직관은 '답을 찾아내는 출발점'이라는 것이다.
페르마의 마지막 정리 – 직관은 증명보다 앞선다
페르마는 이런 말을 했다.
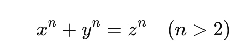
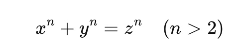
“나는 이 정리에 대한 놀라운 증명을 발견했지만, 이 책 여백은 그걸 쓰기에 부족하다.

을 만족하는 자연수 해는 존재하지 않는다.라는
이 주장은 무려 350년간 증명되지 않은 채 남아 있었다.
즉, 페르마는 ‘이 정리가 맞을 것 같다’라는 강한 직관을 갖고 있었지만, 그걸 증명으로 논리화하지는 못했던 것이다. (현대에 와서야 앤드루 와일스가 1994년에 증명함)
리만 가설 – 가장 유명한 직관

독일 수학자 리만은 자신의 직관에 따라 "리만 제타 함수의 비자명한 해는 모두 실수부가 1/2이다"라고 주장했다. 하지만 오늘날까지도 아무도 이걸 증명하지 못했다. 그럼에도 수많은 수학자들은 이 가설이 맞는다는 직관적 신뢰를 가지고 관련 이론을 발전시켜 온것이다.
이처럼 수학은 때때로 "논리적으로 증명되지 않았지만 모두가 믿는 것"을 기반으로 발전해 가고 있다.
수학적 사고는 그림에서 시작된다
수학자들의 작업 노트를 보면 정식적인 수식이 아니라 손으로 그린 도형, 궤적, 화살표, 흐름도가 먼저 나타나는 경우가 많다.
예를 들면 위상수학에서는 정확한 길이나 각도가 아니라 모양이 어떻게 연결되어 있는가를 직관적으로 파악한다. 도넛과 머그컵이 같은 위상 구조를 가진다는 설명은 논리가 아니라 직관적 유연함에서 출발한것이다.
수학에서 직관은 논리를 대신 할 수 없다 . 하지만 직관 없이는 논리도 존재하지 못한다.
직관은 우리 마음속에서 ‘무언가가 맞는 것 같다’라는 감각을 만들어내고, 논리는 그것이 왜 맞는지를 증명하는 도구이기 때문이다.
수학은 직감이 방향을 정하고, 논리가 그 길을 걷는 정신의 여정이다.
'수학이 좋아지는 글들' 카테고리의 다른 글
| 왜 어떤 공식은 이해되지 않아도 감동적인가? – 수학이 감정을 건드리는 순간들 (0) | 2025.04.09 |
|---|---|
| 지오지브라로 수학을 탐구하는 시대 – 시각화, 직관, 미래 교육의 핵심 도구 (0) | 2025.04.09 |
| 근데 전 오답노트 쓰기 싫어요 (0) | 2025.04.07 |
| 카오스와 인간의 삶: 우연과 필연에 대하여 (0) | 2025.04.06 |
| 오답노트를 꼭 써야 하는 이유 (0) | 2025.04.05 |