
예측할 수 없는 질서, 혼돈 이론(카오스)
우리는 종종 세상이 질서와 규칙으로 이루어져 있다고 생각한다.
하지만 세상을 조금 더 깊이 들여다보면, 작은 차이가 엄청난 결과를 만들어내는, 복잡하고 예측 불가능한 현상들이 숨어 있다. 이런 현상을 설명하는 것이 바로 혼돈 이론 또는 카오스 이론(Chaos Theory)이다.
- 혼돈은 진짜 '혼란'일까?
혼돈(카오스)이라는 말을 들으면 마치 아무 규칙도 없는 ‘엉망진창’인 상황을 떠올릴 수 있겠지만 혼돈 이론에서 말하는 혼돈은 그냥 대책없는 무질서가 아니다.
카오스 이론은 오히려 “규칙이 있지만, 결과를 정확히 예측하기 어려운 시스템”을 말한다. 즉, 완벽한 수학적 법칙에 따라 움직이지만, 아주 작은 변화가 결과에 큰 영향을 주기 때문에 결과가 불확실하게 보이는 것이다.
이것을 우리는 민감한 초기 조건(Sensitive Dependence on Initial Conditions)이라고 부른다.
나비 효과(Butterfly Effect)
혼돈 이론을 설명할 때 자주 비유되는 것 중 하나가 바로 그 유명한 나비 효과(Butterfly Effect)이다.
"브라질에서 나비 한 마리가 날갯짓을 하면, 몇 주 뒤 텍사스에서 토네이도를 일으킬 수도 있다."
이 말은 미국 기상학자 에드워드 로렌츠(Edward Lorenz)가 만든 개념이다.
로렌츠는 1960년대에 날씨를 컴퓨터로 시뮬레이션하던 중, 소수점 몇 자리만 바꿔도 완전히 다른 예측 결과가 나오는 것을 발견하게 되었다. 즉, 시스템 자체는 규칙적이지만, 초기 조건의 아주 미세한 차이가 결과를 전혀 다르게 만든다는 것이다.
이런 특징 때문에 혼돈 시스템은 장기 예측이 거의 불가능하다.
카오스와 수학
카오스 이론은 수학적으로 비선형 동역학 시스템에서 주로 나타난다.
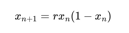
예를 들어, 로지스틱 함수라고 불리는 다음 수식도 혼돈을 잘 보여준다.

이 단순한 식도 어떤 r 값을 선택하느냐에 따라 전혀 다른 결과를 만들게 된다.
어떤 경우엔 일정한 값으로 수렴하고, 어떤 경우엔 2개, 4개, 8개 등으로 반복되다가, 결국에는 완전히 예측할 수 없는 혼돈 상태로 들어간다. 그럼에도 이 모든 건 하나의 수식 안에서 일어난다는 게 정말 놀라지 않을 수 없다.
자연 속에서의 카오스 혼돈 이론은 수학이나 물리학뿐만 아니라 기상, 생태계, 심장 박동, 뇌파, 경제 시스템 등 다양한 분야에서 나타나고 있다.
기후 변화는 복잡한 혼돈 시스템이다. 그리고 인구 변화 모델도 로지스틱 함수로 예측하려 하지만, 예상보다 훨씬 더 복잡한 패턴을 보여준다. 심장의 박동이나 뇌의 신호 패턴에서도 정상과 비정상의 경계가 혼돈 구조로 구분되기도 한다.
혼돈 속의 질서
이제 우리는 규칙이라하나도 없어보이는 혼돈이라고 해도 그 안에 나름의 질서가 있다는 걸 알게 되었다. 겉으로 보기엔 엉망진창처럼 보여도, 그 안엔 깊은 수학적 구조가 숨어 있다는 것이다. 이와 같이 카오스 이론은 수학을 넘어 "예측 불가능한 세상 속에서도 규칙은 존재한다"는 걸 보여준다. 그리고 그 규칙은 때때로 아주 단순한 수식에서 비롯된다는것도 보여준다.
"모든 것을 예측할 수는 없지만, 무작위도 아닌" 자연의 법칙, 혼돈이론은 세상을 알고자하는 인간에게 그 속내를 얼마나 알려준 것일까?
카오스 이론은 우리에게 겸손을 가르친다. 수학과 과학이 아무리 발전해도, 세상의 모든 현상을 완벽하게 예측할 수는 없다는 것. 그 대신, 그 속의 복잡함을 이해하려는 노력이 우리를 더 깊은 세계로 이끌어 준다.
복잡한 세계를 이해하려는 수학의 여정. 그 마지막에는 단순한 질서와 그 질서 속에 숨어 있는 놀라운 혼돈이 있었다.
'수학이 좋아지는 글들' 카테고리의 다른 글
| 오답노트를 꼭 써야 하는 이유 (0) | 2025.04.05 |
|---|---|
| 선생님도 수학이 무서웠던 적 있어요-나의 아름다운 제자에게 (0) | 2025.04.05 |
| 자연이 그리는 수학, 프랙탈의 흔적들 (0) | 2025.04.03 |
| 프랙탈의 또 다른 얼굴, 쥘리아 집합 (0) | 2025.04.02 |
| 수학이 만든 예술, 망델브로 집합 (0) | 2025.04.01 |